电离层TEC、DCB监测解决方案
-
返回主菜单产品
-
返回主菜单解决方案
-
返回主菜单服务支持
-
返回主菜单关于司南
-
返回主菜单投资者关系
-
返回主菜单加入我们
-
返回主菜单集团网站
-
返回主菜单导航云网站
高精度授时解决方案
返回列表
摘要:本文介绍了司南高精度授时解决方案。该解决方案适用于司南K9系列板卡,通过接收并处理卫星导航信号以获取高精度时间,为通信,电力及金融等系统提供更加可靠和精准的时间服务。
司南高精度授时解决方案在电力系统、金融系统、通信系统等对授时精度的要求较高的场景下具有显著优势,有效弥补了传统授时方法如网络时间协议(Network Time Protocol, NTP)受到计算能力和存储空间的限制及远距离校准精度不高的问题;司南高精度授时解决方案利用星基SBAS及北斗B2B服务的增强改正信息,提供了实时精密授时处理方案,为用户提供全天候、高精度及高可靠的时间服务信息。
本文将详细介绍司南高精度授时方案的实现原理,并通过伪距和精密单点定位授时测试结果展示其性能。作为一种自主解决方案,司南高精度授时方案能够在标准接收机上运行,是对传统方法的重要补充,为相关领域的研究与应用提供更为精准和高效的支持。
1引言
时间为七个基础物理量之一。伴随着科技的发展,人们对时间精度的需求越来越高,随着卫星导航系统的建成和广泛应用,全球卫星导航系统(GNSS)以其实时性、低成本、全天候等优点在单站授时站间时间传递等时间频率领域具有较大的应用空间,越来越多的关键基础设施行业将全球卫星导航系统作为获取时间的主要来源。
全球卫星导航系统(GNSS)主要包括BDS(中国)、GPS(美国)、GLONASS(俄罗斯)和Galileo(欧盟),均已面向全球用户提供定位、测速、授时等多种服务。GNSS授时是卫星导航系统提供的三大基础服务之一,通过导航卫星实现时间传递。
GNSS空间信号覆盖范围广、传播衰减小且不受用户数量限制,时间传递精度高,因此,GNSS授时服务在军用数字通信网络时间同步、电信网络时间同步、电力时间同步等方面得到广泛的使用[1-3]。
随着全球一体化的快速发展,全球各行业对高精度的GNSS授时更加依赖。当GNSS授时服务出现异常时,分布全球的通信、交通、金融等行业网点无法获得统一的时间,这将产生巨大的影响。例如,UTC时间2019年7月12日5时50分至2019年7月17日3时0分,由于地面控制段计算系统时间和轨道时出现异常,导致Galileo系统服务降级、中断近117小时10分钟。在此期间,Galileo 提供的PNT服务可用性和安全性存在较大问题,用户不能单独使用该服务。因此,开展GNSS授时性能的评估工作是十分重要的,用户能够根据评估结果调整GNSS授时服务的应用。
GNSS授时需要经过时间传递与时钟驾驭两个阶段,时间传递阶段将时间基准的信息传递到本地计算本地时钟所表示的本地时间相对于时间基准的偏差,即钟差;时钟驾驭阶段控制调整本地时钟信号的相位和频率,并输出标准秒脉冲(1 PPS)信号。
2算法原理
2.1伪距授时
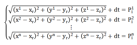
伪距授时是由用户端接收卫星信号,由基本观测量和导航电文自主完成钟差计算并修正本地时间,使得本地时间和世界协调时 UTC 同步。该授时技术的显著特点是不需要占用导航卫星与地面控制中心的信道资源,而且用户服务数量不受限制,可以满足大范围授时服务的需求,伪距基本观测方程可表达为:

要实现高精度定时,就需要尽可能消除或者减小各种误差带来的影响:一种是和卫星相关的误差,比如卫星上搭载的原子钟钟差、相对论效应等;第二种是卫星信号到用户接收机的传播路径延时引起的误差,例如电离层延时误差、对流层延时误差等;第三种则是和用户端接收机有关的误差,比如接收机的伪距硬件延迟等,司南使用的误差处理策略如表1所示:
由于卫星空间信号通过不同通道到达接收机的时间延迟大小与卫星信号的频率相关。不同的导航系统、不同频点的导航信号在同一台多GNSS 接收机内产生的硬件延迟偏差并不相同。
对于同一系统不同频点间的延迟偏差通过模拟器对不同频点与参考频率的误差量进行标定,BDS 的参考频率为 B3I;GPS 的参考频率为 L1;Galileo的参考频率为E1。GLONASS 的参考频率信号为L1载波上频率号为0 的信号;
假设接收机共对N颗卫星有伪距观测值,其中,n=1,2,…,N为卫星观测值编号,
为伪距观测值,rs为卫星到用户机的几何距离,dt为接收机本地时相对于GNSS系统的钟差,则方程可简化表达为:

式中,
为经SBAS改正数修正后的n号卫星已知坐标,
为接收机坐标,对于接收机坐标未知,dt通过至少4个卫星的观测量采用最小二乘方法求解;对于接收机坐标已知,可通过单星进行钟差解算实现单星授时,或带入已知坐标,修正各项误差后采用残差加权进行钟差计算。
以算术平均为例,在各卫星观测噪声 服从独立同分布的情况下,其可以将接收机定时噪声方差减小到原来的1/N。因此,与传统 PVT 解算方法的噪声相比,采用坐标已知解算模式方法可以降低噪声方差。
在得到准确的接收机钟差后,将钟差参数传递至基带进行时钟驯服,然后通过广播星历中提供的各系统与UTC转换参数进行时间归算,最终输出相对于UTC的1PPS秒脉冲。
2.2精密单点定位授时
得益于一些公开的星基增强服务,PPP目前可进行实时定位解算,PPP时间传递方法由于不受距离限制、全天候、成本低、精度高等特点,已成为国际时间比对的重要手段之一,并在时频领域广泛使用。
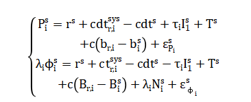
由于伪距硬件延迟和载波相位硬件延迟不完全相同,伪距和载波相位方程的实际估计钟差也存在一定差异,但同时估计这两类接收机钟差会因为两类参数的线性相关而无法求得唯一解(即法方程秩亏),PPP 技术通常将载波相位方程的钟差参数强约束为伪距方程钟差,而伪距硬件延迟和载波相位硬件延迟之差会被其他参数吸收。
事实上,精密钟差产品(B2B)同样是基于双频无电离层组合、采用类似的处理策略估计得到的,所以卫星钟差产品中包含伪距硬件延迟误差,使用上述产品改正PPP观测方程的卫星钟差,会将星端伪距硬件延迟引入载波相位观测方程,而由于硬件延迟具有良好的稳定性,其随机特性与模糊度相类似,因此在参数估计时引入的硬件延迟将被模糊度吸收,则经过精密钟差产品改正后的观测方程为:

同伪距授时一致,在得到准确的接收机钟差后,将钟差参数传递至基带进行时钟驯服,然后通过广播星历中提供的各系统与UTC转换参数进行时间归算,最终输出相对于UTC的1PPS秒脉冲。
3固件版本
司南高精度授时解决方案已集成在司南K9系列板卡上的“K901_CGGTTS_a_03_20241209”固件中,用户可在该固件及其后续版本中使用该功能。
4性能分析
本节将对司南高精度授时方案中的伪距授时和精密单点定位授时功能进行实验分析,以深入了解该解决方案的性能。
实验选取均值计算标准差(STD)用于精度评估。内符合精度计算公式:

其中,
为估计值,
为所有估计值的均值。
4.1伪距授时
4.1.1伪距定点授时
当接收机的天线坐标已知时,可通过手动向板卡输入准确坐标进行伪距定点授时模式。
图 1、图2分别展示了在定点授时解算模式下,以GPS系统为时间基准和以BDS系统为时间基准伪距定点授时与标准授时设备之间的PPS误差,受大气误差、时段和卫星构型影响,PPS误差呈现变化的趋势,但仍保持在较高的精度范围内。
从表1中可以看出,BDS和GPS系统伪距定点授时误差分别为3.907ns和4.418ns,均优于5ns误差。

图1 GPS伪距定点授时

图2 BDS伪距定点授时
4.1.2伪距自主优化授时
当天线坐标未知时,司南高精度授时解决方案可在一定的时间周期内通过算法择优选择最佳位置信息,此后将根据此位置信息进入定点授时模式。
表2给出了司南高精度授时解决方案和标准授时设备之间的PPS误差,BDS系统和GPS系统分别为3.767ns和4.443ns,均优于5ns授时精度。
图 3、图4展示了在自主优化授时模式下,司南高精度授时解决方案和标准授时设备之间的PPS误差,在长期监测过程中,能够满足大多数场景下高精度授时要求。


图3 GPS伪距自主优化授时

图4 BDS伪距自主优化授时
4.2 精密单点定位授时
4.2.1精密单点定位定点授时
当天线坐标已知时,可通过手动向板卡输入准确坐标进行精密单点定位定点授时模式。司南高精度授时解决方案将使用该坐标对精密单点定位解算结果进行坐标约束,保证钟差及位置信息的可靠性与精度。
图5展示了精密单点定位定点授时和标准授时设备之间的PPS误差,可以看出,在坐标约束的情况下,精密单点定位授时的PPS误差变化更为平稳,授时精度为3.325ns。

图5 精密单点定位定点授时
4.2.2精密单点定位自主优化授时
当天线坐标未知时,精密单点定位将需要10-20min时间进行收敛,在收敛完成后可提供较为稳定且具有较高精度的时间信息。
图6给出了精密单点定位自主优化授时的误差,从图中可以看出,精密单点定位自主优化授时精度为3.407ns,同时随着精密单点定位的持续收敛,PPS的误差逐渐平稳。

图6 精密单点定位自主优化授时
4.3钟差稳定性
图7和图8给出了同时刻下伪距和精密单点定位解算的接收机钟差值,钟差的稳定性及精度和授时稳定性及精度具有强相关性,从图中可以看出,精密单点定位的钟差更为稳定,波动较小,在良好的观测条件下,使用精密单点定位授时方案能够提供更精准、更可靠的时间信息。

图7 精密单点定位授时钟差

图8 伪距单点定位授时钟差
5结论
司南高精度授时解决方案运行在司南K9系列板卡上,支持以多系统实时输出高精度时间信息。本文详细介绍了该解决方案的原理及固件版本,并进行了实验分析。实验结果表明,在理想的观测条件下,伪距和精密单点定位授时均可达到5ns以内的授时精度,精密单点定位授时精度优于伪距授时精度且波动性较小,能够实时为通信,电力及金融等系统提供可靠的时间信息服务。
参考文献
[1] 艾青松. GNSS 卫星钟差估计与精密单点定位时间传递方法研究[D]. 武汉:中国科学院精密测量科学与技术创新研宄院, 2021 (Ai Qingsong. Research on Methodology of GNSS Satellite Clock Offset Estimationand Precise Point Positioning Time Transfer[D]. Wuhan: Innovation Academy for Precision Measurement Science and Technology, CAS, 2021)
[2] 蔡洪亮, 孟轶男, 耿长江, 等. 北斗三号全球导航卫星系统服务性能评估: 定位导航授时、星基增强、精密单点定位、短报文通信与国际搜救[J]. 测绘学报, 2021, 50(4): 427–435. doi: 10.11947/j.AGCS.2021.20200549
[3] 杨元喜.综合PNT体系及其关键技术[J]. 测绘学报, 2016,45(5):505–510. doi:
10.1947/j.AGCS.2016.20160127.YANG Yuanxi. Concepts of comprehensive PNT andrelated key technologies[J]. Acta Geodaetica etCartographica Sinica, 2016, 45(5): 505–510. doi: 10.11947/j.AGCS.2016.20160127.

















