全球卫星导航信号抗干扰技术解决方案
-
返回主菜单产品
-
返回主菜单解决方案
-
返回主菜单服务支持
-
返回主菜单关于司南
-
返回主菜单投资者关系
-
返回主菜单加入我们
-
返回主菜单集团网站
-
返回主菜单导航云网站
电离层TEC、DCB监测解决方案
返回列表
摘要:本文介绍了电离层监测解决方案。该解决方案适用于司南M300 Pro II GNSS接收机,能够能够为实时电离层数值预报和电离层活跃检测提供可靠的数据支持。
依托自主研发的高精度板卡K807,司南高精度电离层检测系统利用GNSS算法,用单台接收机实时接收GNSS观测数据,不依赖本地、区域或全球GNSS 服务,对实时接收的GNSS观测数据进行处理,解算得出电离层TEC、DCB、ROTI等各项参数,实现单站实时电离层产品的输出。司南电离层检测功能支持以多种时间间隔实时输出解算的电离层信息,这些信息可以存储于接收机本地,通过接收机网页或者其他方式进行查阅和发布。
本文将详细介绍司南高精度电离层检测功能的实现原理,并通过山东青岛站和上海站的测试结果展示其性能。这一方案不仅为电离层研究科研人员提供实时、精确的数据支持,还为提高电离层检测的准确性提供保障,推动电离层相关研究的发展和应用。
1引言
电离层是空间大气的重要组成部分,作为GNSS导航定位中的主要误差源之一,电离层延迟对用户定位精度有着重要影响。同时,由于电离层色散特性,使得利用地面GNSS接收机监测电离层成为可能,与传统监测手段相比,具有覆盖范围广、实时性高、全天候等优势。
电离层监测包括解算电离层闪烁指数、TEC、DCB、ROTI等参数。
电离层E层和F层电子密度的不均匀性,会导致穿过电离层的无线电信号发生振幅和相位的快速随机起伏,这种现象成为电离层闪烁。TEC为总电子含量,DCB为硬件延迟,ROTI为TEC变化率指数。
2算法原理
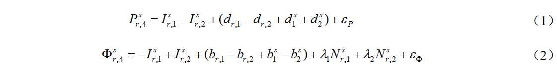
2.1 载波平滑伪距提取TEC
将两个频率上的伪距和载波相位观测值作差,形成无几何组合观测值,表示为:

式中,
和
分别表示伪距和载波相位的无几何组合观测量。
又由
式(1)和式(2)可改写为:

式中,
和
分别表示接收端和卫星端差分码偏差,也叫硬件延迟。
由于伪距观测噪声较大,其提取的电离层观测值的精度较低,需要通过载波相位进行平滑处理。根据伪距和载波的电离层延迟数值相等、符号相反的特点,将式(3)和式(4)相加,并取多历元平均,可得:

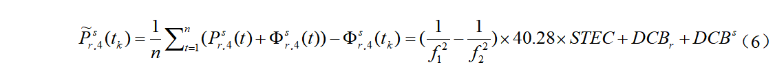
式中,n为弧段长度(连续历元数)。将式(3)和式(4)结合,可以得到基于载波平滑伪距提取的电离层观测值:

载波平滑伪距方法将连续弧段内的DCB、模糊度等当作常数,对伪距噪声进行滤波消除,其提取精度受弧段长度、伪距多径等影响。提取的电离层观测值中包含有卫星端和接收机端DCB,需要经过分离处理最终得到TEC。
2.2 分离TEC和DCB
需要对前文提取的电离层观测值进行TEC和DCB的分离才能得到最终的电离层信息。可以认为DCB在一定时间内基本保持不变,比如一天,由于每颗卫星的电离层不一样,且相对DCB而言随时间发生变化较快,因此需要对电离层在一定时段一定区域内进行建模,使其转变为用户位置、方位角、高度角、时间等的函数,这样就可以通过积累一段时间的电离层观测值,估计出电离层模型以及DCB。常见用于描述电离层时空分布的模型有多项式函数模型、三角级数函数模型、球谐函数模型等。
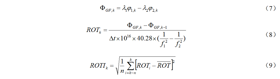
2.3 ROTI
ROT用来描述斜路径上电离层TEC的变化率,单位为TECU/min。ROTI定位为在一定时间间隔内ROT的标准差,单位为TECU/min。计算方法如下:

式中,
表示k时刻载波相位无几何组合观测量,
为相邻两个历元时间间隔,单位min,n为参与计算的历元数。ROTI的计算使用滑动窗口法。
3固件版本及操作界面
司南电离层TEC、DCB监测解决方案已集成在司南M300 Pro II GNSS接收机上的“K807_603BR_p_b6_20240905”固件中,用户可在该固件及其后续版本中使用该功能。
如图1所示,在“电离层TEC监测”界面可绘制四系统各卫星电离层电子总含量每天随时间变化的时序图,绘图区域可选择绘图日期(天),绘图类型(散点图和折线图),绘图数据(电离层TEC和电离层扰动),可刷新绘图和下载时序图。

图1 电离层TEC监测界面
同样地,在“电离层扰动的监测”界面可绘制四系统各卫星电离层扰动指数每天随时间变化的时序图,绘图区域可选择绘图日期(天),绘图类型(散点图和折线图),可刷新绘图和下载时序图。
图2 电离层扰动监测图
如图3所示,在“差分码偏差DCB监测”界面可绘制每天四系统各卫星的DCB柱状图,绘图区域可选择绘图日期(天),可刷新绘图和下载柱状图,图中还可看到接收机DCB的估计值。

图3 差分码偏差DCB监测
4性能分析
由于分离TEC和DCB后得到最终干净的电离层TEC信息在目前没有一个相对权威的参考真值用于评估精度,不同测试站的TEC信息也是不同的。根据载波平滑伪距提取TEC的相关公式,分离后的TEC精度取决于DCB解算精度和TEC平滑精度。为了能够相对科学地评估TEC解算性能,可以评估解算DCB的性能和零基线TEC平滑值的一致性来间接评估TEC解算精度,其中,DCB分为卫星DCB和接收机DCB,接收机DCB取决于每台接收机,卫星DCB则可以参考中科院在IGS上发布的每天各卫星DCB的值作为真值来评估精度,零基线TEC平滑值的一致性则可以在同一测站安装不同的接收机来模拟测试。
选取2024年12月在山东青岛搭建的实验测试站,以及2025年3月在上海搭建的实验测试站,其中青岛站用于解算卫星DCB用于评估卫星DCB解算精度,上海站用于评估相对TEC精度和电离层TEC变化率,采集GPS、BDS、GAL三系统观测数据,利用上述算法原理分别进行TEC、DCB、ROTI解算。
4.1 卫星DCB对比分析
在实验测站解算每天的各系统卫星的DCB并与中科院发布的各卫星DCB作为真值进行对比,为了方便展示,这里给出其中四天各卫星的DCB偏差,在一天的解算中,单站无法无法覆盖各系统所有可用卫星,故没有观测到的卫星或者未解算出来DCB的卫星DCB均标为0,如图4-7:
从上图可以看到,各卫星DCB偏差基本均在2ns以内,部分偏差较大的卫星可能是由于在一天的解算过程中跟踪时间过少,导致其DCB解算受短时间的电离层活跃程度影响。
解算各系统卫星DCB的RMS作为各系统精度评估标准,实验统计了2024年12月连续26天的DCB解算结果,按照各系统分别统计的RMS如图8:

图8 12月三系统每天卫星DCB估计值RMS(单位:ns)
可以看到三系统每天统计的卫星DCB的RMS均在1ns左右,下表为12月各天解算DCB的RMS值。

可以看到各天的解算RMS较为稳定,没有起伏过大的情况。
4.2 TEC零基线一致性分析
在实验测站同步搭建五台设备测试,在零基线的情况下,卫星信号穿过电离层的路径基本相同,可以认为零基线平滑得出的TEC具有一致性。比较同时刻同卫星平滑得出的TEC一致性,以此来评估TEC的平滑精度,由于卫星过多,这里仅选取各系统各一颗卫星并给出的五台设备的时间序列图(选取的卫星尽量在一天的观测时间较长),为了更好地对比各卫星的STEC一致性,平滑过后的STEC未扣除硬件延迟,各卫星STEC存在一个接收机硬件延迟DCB的系统误差,方便对比STCE随时间变化的规律,如图9-11所示:

图9 BDS-C1五台零基线设备平滑的STEC对比

图10 GPS-G14五台零基线设备平滑的STEC对比

图11 GAL-E13五台零基线设备平滑的STEC对比
上面三张图来看,各个卫星STEC一致性都较强,存在的系统误差即接收机硬件延迟DCB较为稳定,说明接收机硬件延迟在一天之内波动很小。在扣除接收机DCB后,同时刻平均偏差非常小,在0.5TECU左右,这个值大小还取决于接收机DCB的精度,说明STEC平滑一致性是很强的。
5结论
司南电离层检测模块,运行在司南M300 Pro Ⅱ GNSS接收机上,该模块支持实时输出解算的TEC、DCB、ROTI等信息。司南导航电离层TEC、DCB监测自主解决方案,能够实时计算多系统各卫星的TEC、DCB、ROTI等信息,本文介绍了该功能的实现方案,利用接收机接收各系统的观测数据,通过载波平滑伪距提取STEC,并针对电离层建模解算DCB从而使STEC分离出纯净的STEC,并通过测试数据验证其性能。测试结果表明:司南电离层检测解决方案实时解算的STEC一致性较强,平均偏差在0.5TECU以内,卫星DCB精度较高,精度RMS在1ns左右,ROTI解算结果较为准确,充分反应电离层活跃程度,能够为实时电离层数值预报和电离层活跃检测提供可靠的数据支持。
参考文献
[1] 姚宜斌,高鑫.GNSS 电离层监测研究进展与展望[J].武汉大学学报(信息科学版), 2022, 47(10): 1728-1739.
[2] 熊波,李肖霖,万卫星等.基于单站多系统的GNSS硬件延迟估算方法及其应用[J].地球物理学报,2019,62(4):1199-1209.
[3] Villiger A.,Schaer,S.,Dach,R.et al.Determination of GNSS pseudo-absolute code biases and their long-term combination[J].Journal of Geodesy,1487-1500(2019).

















